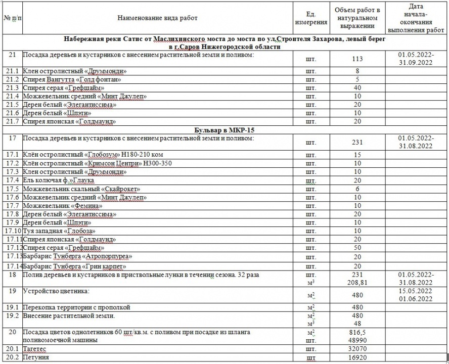
Опубликован перечень работ по благоустройству общественных территорий
24 марта 2022 г. 21:05 |
| чт, 8 января день |
![]()
|
0°C 744 мм Ю,2 м/с |
| пт, 9 января ночь |
![]()
|
-1°C 740 мм Ю-В,4 м/с |
| пт, 9 января день |
![]()
|
+1°C 736 мм Ю-В,5 м/с |
| сб, 10 января ночь |
![]()
|
+1°C 736 мм Ю,3 м/с |
| 30.12.2025 | 31.12.2025 | |
| USD | 77.4466 | 78.2267 ↑ |
| EUR | 91.4775 | 92.0938 ↑ |
| чт, 8 января день |
![]()
|
0°C 744 мм Ю,2 м/с |
| пт, 9 января ночь |
![]()
|
-1°C 740 мм Ю-В,4 м/с |
| пт, 9 января день |
![]()
|
+1°C 736 мм Ю-В,5 м/с |
| сб, 10 января ночь |
![]()
|
+1°C 736 мм Ю,3 м/с |
| 30.12.2025 | 31.12.2025 | |
| USD | 77.4466 | 78.2267 ↑ |
| EUR | 91.4775 | 92.0938 ↑ |
|
|
Ссергей |
|
Под видом общественного благоустройства подаются работы по обустройству территорий новостроек на заливном лугу.
Не в коня корм. Это обязанность застройщика за его счёт. Вот куда "денюжки" города тратят не по назначению! Целесообразней завершить благоустройство аллей, где много деревьев не прижилось после посадок при благоустройстве, например, на Некрасова - уже много лет ямы на газонах из-под погибший деревьев и кустов. На Маслихе - две ёлочки растёт вместо посаженных пятнадцати. И т.п. |
|
|
|
Радиоспециалист |
|
В перечне не хватает самого важного пункта - "Уход (систематический) за растениями после посадки".
Фактически все высаженные ранее деревья и кустарники в разных районах Сарова погибли от неполива. |
|
Hoteres